电缆护层是覆盖在电缆绝缘层外面的保护层,它和导体、绝缘层统称为电缆的三大组成部分。典型的护层结构,包括护套和外护层。护套贴紧绝缘层,是绝缘的直接保护层。包覆在护套外面的是外护层。通常,外护层又由内衬层...
高压、超高压电缆除小截面外,均采用单芯电缆结构。单芯电缆的护层对地有绝缘要求,因此高压、超高压电缆的护层绝缘成为它的特点之一。目前主要采用聚氯乙烯或聚乙烯护套料。护层绝缘具有下列作用:(1)单芯电缆的...
你知道常见的高温电线电缆特点有哪些?高温电线电缆在市场上比较常见,广泛的应用在各个行业,它种类繁多,在市场上的份额占比大,深受广大用户的喜爱。它还具有许多独特的特点,使其在高温条件下表现出色。一般聊到...
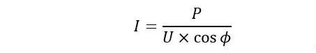
在我们工作中经常碰到需要根据用电设备功率来选择电线大小,虽然不难,但是有很多朋友依然不知道怎么具体该计算。这里来跟大家分享一下如何根据功率选择电线大小。
在装修过程中,电线的铺设是一项非常重要的工作,然而许多人在电线铺设时会有疑问,家装电线装修的时候,到底是走地好还是走顶好呢?